基本信息:
中文名稱 2,4-二芐氧基嘧啶-5-硼酸
中文別名 2,4-聯(lián)芐氧基嘧啶-5-硼酸;
英文名稱 2,4-Bis(benzyloxy)pyrimidin-5-ylboronic acid
英文別名 [2,4-bis(phenylmethoxy)pyrimidin-5-yl]boronic acid;
CAS號(hào) 70523-24-9
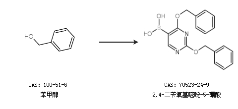
合成路線:
1.通過5-溴-2,4-二(苯基甲氧基)-嘧啶合成2,4-二芐氧基嘧啶-5-硼酸,收率約96%;

2.通過苯甲醇合成2,4-二芐氧基嘧啶-5-硼酸

合成路線僅供參考